It was 86 years ago on Saturday (8 February) that one of the most important scientific papers of the 20th century appeared in the Proceedings of the Royal Society. Written by the young British physicist Paul Dirac, it was simply titled A Quantum Theory of the Electron, and was nothing short of a theoretical triumph.

In it, Dirac had set out to solve a problem that was occupying some of the greatest minds in physics. To date, quantum mechanics had failed to explain the fine detail of atomic spectra – the discrete wavelengths of light emitted and absorbed as electrons hop between different energy levels in atoms. In particular the electron had to be given a strange property known as “spin” to explain the number of different energy levels.
Spin itself was a rather mysterious quantity. It suggested that that the electron behaved as if it was rotating rapidly on its axis, but a quick calculation showed that this couldn’t be true – the electron would have to be spinning faster than the cosmic speed limit, the speed of light, something forbidden by Einstein’s theory. It also had to be bolted on to quantum mechanics like a clumsy afterthought, without any explanation for its origin.
Dirac, for whom mathematical beauty in the laws of physics was almost a religious cause, was deeply dissatisfied with this awkward situation. He believed that the problem lay in combining the two pillars of modern physics, quantum mechanics (the theory of the very small) and relativity (the theory of the very fast).
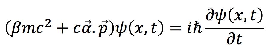
He was after an equation describing the behaviour of electron that was consistent with both theories, and also explained the known properties of the electron. Rather surprisingly perhaps, the approach he took was to guess.
An educated guess mind, based on some properties he knew the correct equation must possess and also on his aesthetic desire for simplicity and beauty. Working methodically, he tried equation after equation, discarding them one by one until in late November 1927 he came upon a solution.

The equation was perfect. Not only did it accurately reproduce the known energy levels of the hydrogen atom, the property of spin naturally appeared in the equation, without the need to be stuck on by hand afterwards. Spin itself now seemed to be an inevitable consequence of combining relativity and quantum mechanics.

Dirac, though famously reserved, must have been jumping for joy (though perhaps only in his head). He had pulled off a coup so impressive that his German competitors, Jordan and Heisenberg were left stunned and deflated.
As news spread of Dirac’s success, the man himself was growing increasingly nervous about an odd feature of his equation, one that he had brushed under the carpet in his Royal Society paper.
The equation itself had four solutions, and each solution represented a state that the electron could be in. Two of these corresponded to the garden-variety electron with negative electric charge, but the other two described an electron with positive electric charge and negative energy.
This made no sense whatsoever. No one had ever seen a positively charged electron, and worse still, if these negative energy states existed then ordinary electrons should be able to fall into them, causing an electron to spontaneously switch its charge from negative to positive.
For all the success of the Dirac equation, these negative energy electrons could well have spelt its doom, and no-one was more acutely aware of this than Dirac himself. In fact, this “problem” turned out to be Dirac’s greatest contribution to physics.
It would take Dirac more than three years to understand the true meaning of this extra set of solutions. He had first thought that these negative energy, positively charged electrons might in fact be protons – the positively charged particles inside the atomic nucleus – but he soon realised that this would imply that protons should have the same mass as electrons, when in fact they are roughly 2000 times heavier.
What Dirac eventually reasoned was that these odd solutions actually represented a completely new type of particle, a sort of mirror image of the electron that he dubbed the “anti-electron”. Anti-electrons would look completely identical to ordinary electrons, but positively charged. He also reasoned that other particles like protons should also have anti-versions, and that when a particle met its anti-particle they would annihilate each other.
This must have seemed far-fetched at the time; after all, no one had ever seen an anti-particle. But Dirac was convinced by the beauty of his equation, and in one of the most stunning episodes in modern physics, was proven right just a year later, as Carl Anderson spotted an anti-electron in cosmic ray experiments.
It’s hard to overstate what Dirac had achieved. Through the power of sheer thought, he had predicted the existence of a completely new type of stuff, a stuff never before imagined by scientists. This stuff, what we now call antimatter, is just as real as the stuff you and I are made from, but for some reason doesn’t exist in large quantities in our Universe. This is in fact one of the greatest unsolved mysteries in physics, and one that physicists at the Large Hadron Collider are trying to solve.
Find out more about antimatter by watching this short video or by visiting the Collider exhibition before the 5th May 2014.
5 comments on “Anticipating Antimatter”
Comments are closed.
A fun (and very short) read is Dirac’s “Development of Quantum Theory” based on his J. Robert Oppenheimer Memorial Prize acceptance speech. Dirac puts into perspective how afraid he was that his famous equation was wrong because of its weird predictions, and how desperately he tried to work the results into the existing experimental knowledge, or even hide them. There’s a great quote along the lines of “the person who first develops an equation or an idea may be too attached to it to actually be the best person to study it thoroughly.”
Dirac also points out that some of the early cloud chamber experiments did observe positrons (antielectrons), well before Dirac posited their existence, but the results were discounted as completely anomalous. Positrons curve in the other direction as compared to electrons, and the experimenters knew they would occasionally see backwards-curving trajectories, but ignored them because they made no sense and had to be instrumental mistakes.
The lesson here seems to be that the effectiveness of science rests on the proper balance of, and communication between, theory and experiment!
Didn’t Dirac want to rename electrons negatrons to match the anti-matter positron? I seem to rememember this from ‘The Strangest Man’ by Graham Farmelo. Lovely article, many thanks.
What a clean, accessible description. Many thanks.
btw: paragraph 7 has a combing which should be combining. {apols for the prosaic feedback.}
Thanks Nick for the kind words (and for spotting the mistake).
Excellent read. Thank you.